Studiu pilot la scară-pe un sistem A/O-MBBR cu mai multe-etape pentru îndepărtarea azotului la temperaturi medii-joase
Prezentare generală
În ultimii ani, China a obținut rezultate semnificative în managementul mediului apei, dar încă se confruntă cu probleme precum deficitul de resurse de apă, poluarea mediului apei și deteriorarea mediului ecologic al apei. Din perspectiva protecției resurselor de apă, prevenirea poluării apei și restabilirea ecologiei apei, promovarea continuă a îmbunătățirii eficienței și eficacității epurării apelor uzate este de mare importanță pentru creșterea ratei de utilizare a resurselor de apă, îmbunătățirea calității mediului apei, îmbunătățirea calității vieții naționale, accelerarea construcției mediului ecologic și câștigarea bătăliei pentru apa curată. În prezent, pe baza „Standardului de evacuare a poluanților pentru stațiile de tratare a apelor uzate urbane” (GB18918-2002), guvernele locale au propus succesiv noi cerințe pentru calitatea efluenților stațiilor de tratare a apelor uzate urbane, cu cerințe deosebit de stricte privind indicatorii precum materia organică, azotul amoniac și azotul total. Tehnologiile tradiționale de tratare a apei reprezentate de procesul cu nămol activ se confruntă cu blocaje precum nitrificarea biologică limitată la temperaturi scăzute. Numeroase studii au arătat că performanța de nitrificare a procesului de nămol activat scade semnificativ în condiții de temperatură scăzută-, însoțită de probleme precum înmulțirea severă a nămolului și deșeuri biologice. Prin urmare, depășirea blocajului de temperatură scăzută și realizarea unei eliminări biologice stabile și eficiente a azotului a devenit o problemă urgentă de rezolvat în domeniul epurării apelor uzate. Tehnologia Moving Bed Biofilm Reactor (MBBR) a fost aplicată în sute de stații de tratare a apelor uzate din întreaga lume. Datorită stării de creștere atașate a biofilmului în interiorul reactorului și a capacității sale de reînnoire continuă, acesta nu numai că posedă biomasă mare, ci și menține o activitate ridicată. Rezultatele aplicării în țările nordice indică, de asemenea, că are o adaptabilitate mai puternică la temperaturi scăzute în comparație cu procesul cu nămol activ.
Din acest motiv, acest studiu, care vizează caracteristicile apelor reziduale urbane din China, utilizează avantajele MBBR și procesul multi-anoxic/oxic (A/O) pentru îndepărtarea biologică a azotului pentru a construiun sistem pilot-A/O-MBBR cu trei etape-la scară. A fost investigată capacitatea sistemului de îndepărtare a materiei organice, a azotului amoniac și a azotului anorganic total în condiții de temperatură medie-scăzută. Au fost analizate capacitatea de nitrificare și modificările morfologice ale biofilmului în condiții experimentale statice, oferind suport tehnic pentru obținerea unei eliminări stabile și eficiente a azotului din apele reziduale urbane în condiții de temperatură joasă-și pentru construirea și reglarea sistemelor A/O-MBBR cu mai multe etape.
1. Materiale și Metode
1.1 Modul de operare și configurare experimentală a sistemului la scară-pilot
Fluxul de proces al sistemului la scară pilot-A/O-MBBR construit în trei etape este prezentat înFigura 1. Sistemul la scară pilot-constă din trei etape de anoxic/oxic (A/O), împărțite în total în 10 zone de reacție.Prima-etapăSubsistemul A/O-MBBR este format din zone de reacție anoxică (A1, A2) și zone de reacție aerobă (O3, O4).A doua-etapăSubsistemul A/O-MBBR este format din zone de reacție anoxică (A5, A6) și zone de reacție aerobă (O7, O8).A treia-etapăSubsistemul A/O-MBBR constă dintr-o zonă de reacție anoxică (A9) și o zonă de reacție aerobă (O10). Volumul efectiv alfiecare zonă de reacție menționată mai sus este de 1,4 m³ (1 m * 1 m * 1,4 m), cu o adâncime efectivă a apei de 1,4 m. Purtători de biofilm în suspensie (medii) cu o suprafață specifică de 500 m²/m³ au fost adăugați la fiecare segment de zonă de reacție, cu un raport de umplere a purtătorului de 35% pentru toate. Amestecarea mecanică a fost utilizată în zonele de reacție anoxică pentru a menține purtătorii fluidizați, în timp ce aerarea cu țevi perforate a fost folosită în zonele de reacție aerobă, controlândconcentrația de oxigen dizolvat la 3-9 mg/L.
Debitul real de intrare al sistemului pilot-la scară pilot a fost de (23.6 + 5.4) m³/zi, utilizând o distribuție de influenț în două-puncte, cu punctele de intrare setate la zonele de reacție A1 și O5 și un raport de influenț de 1:1. Sistemul la scară pilot-a avut două seturi de recirculare a lichidului nitrificat (de la O4 la A1 și de la O8 la A5), cu un raport de recirculare de 100% la 200% (pe baza debitului de intrare al fiecărei etape). Pentru a asigura o post-denitrificare corespunzătoare, s-au adăugat 50-90 mg/L de acetat de sodiu (calculat ca COD) ca sursă externă de carbon în zona de reacție A9. Întregul studiu experimental a fost împărțit în 2 faze: Faza I - Temperatura normală (18-29 grade ); Faza II - Temperatura medie-scazuta (10-16 grade).

1.2 Testarea apei
Testul pilot a fost efectuat pe-locul unei stații de tratare a apelor uzate urbane din orașul Qingdao. Apa de testare a fost preluată din efluentul rezervorului de sedimentare primar al acestei instalații și a intrat în sistemul pilot după o pretratare îmbunătățită prin flotație. Condițiile de calitate a apei după pretratarea îmbunătățită prin flotație sunt prezentate înTabelul 1.

1.3 Indicatori și metode de detectare
1.3.1 Indicatori convenționali
Indicatorii convenționali precum SCOD, NH₄⁺-N, NO₂⁻-N, NO₃⁻{-N, SS, MLSS și MLVSS au fost măsurați folosind metode standard din „Metode de monitorizare și analiză a apei și apelor uzate”. Oxigenul dizolvat, temperatura, pH-ul și ORP au fost măsurate folosind acontor portabil de oxigen dizolvat (HACH HQ40d). Grosimea biofilmului a fost măsurată folosind unmicroscop cu fluorescență inversată (Olympus, IX71).
1.3.2 Experiment static de nitrificare
În timpul funcționării sistemului, purtătorii din zonele aerobe au fost prelevați periodic pentru a măsura capacitatea de nitrificare a biofilmului în condiții de reacție statică. Purtătorii din fiecare zonă de reacție aerobă au fost plasați într-un reactor de 5 L, cu un raport de umplere identic cu sistemul pilot la 35%. Apa de testat a fost o soluție de NH₄Cl configurată artificial cu o concentrație de masă de 20-25 mg/L (calculată ca N). În timpul experimentului, a fost folosită o mică pompă de aer pentru aerare pentru a menține purtătorii fluidizați în timp ce se controlează oxigenul dizolvat la 7-11 mg/L. Durata testului a fost de 2 ore, cu intervale de prelevare de 30 de minute, măsurarea modificării concentrației de NH₄⁺-N pentru a calcula capacitatea de nitrificare a biofilmului în condiții de reacție statică.
2. Rezultate și analize
2.1 Performanța operațională a sistemului pilot A/O-MBBR în trei-etape
Performanța operațională a sistemului pilot A/O-MBBR în trei-etape este prezentată înFigura 2. În faza de temperatură normală (Faza I), cu o temperatură de reacție de 18-29 grade , un debit de tratare de (23.6+5.4) m³/zi și o doză de sursă de carbon de 50 mg/L (calculată ca COD, la fel mai jos) în zona anoxică a celei de-a treia-etape A/O{{6}OD, subsistemul SC, influențează subsistemul MBBR Concentrațiile de NH₄⁺-N și TIN au fost (160±31), (35,0±7,2) și, respectiv, (35,8±7,0) mg/L, iar concentrațiile efluentului tratat au fost (27±8), (0,6±0,5) și respectiv (2,7±2,2) mg/L, curate medii de eliminare ajungând la 83,1%, 98,3% și 92,5%. În faza de temperatură medie-joasă (Faza II), cu o temperatură de reacție de 10-16 grade , același debit de tratare de (23.6+5.4) m³/zi și dozarea sursei de carbon de 50-90 mg/L în zona anoxică a{-etapa a treia, subsistemul A/O-ODBR influențează sistemul SC, subsistemul MBBR. Concentrațiile de NH₄⁺-N și TIN au fost (147±30), (38,3±2,1) și, respectiv, (39,6±2,3) mg/L, iar concentrațiile efluenților au fost (26±6), (0,4±0,6) și, respectiv, (6,8±3,6) mg/L, curate medii de eliminare ajungând la 82,3%, 99,0% și 82,8%. Mai mult, în zilele 56-62 de funcționare a sistemului, când doza sursă de carbon a fost de 50 mg/L, a apărut o acumulare semnificativă de NO₂⁻-N în zona de reacție A9. Cu toate acestea, după creșterea treptată a dozei sursei de carbon la 90 mg/L, acumularea de NO₂⁻-N în zona de reacție A9 a dispărut treptat, iar concentrația de TIN efluent a scăzut la un nivel rezonabil.

2.2 Modificări ale capacității de nitrificare a biofilmului în fiecare zonă de reacție aerobă la diferite temperaturi de reacție
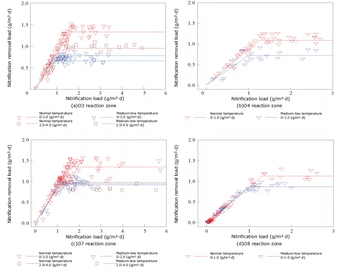
Pentru a evalua modificările capacității de nitrificare a sistemului A/O-MBBR cu trei-etape A/O-MBBR dintr-o perspectivă de ansamblu, au fost analizate rata contribuției de nitrificare a NH₄⁺{-N și capacitatea de nitrificare a biofilmului în fiecare zonă de reacție aerobă la diferite temperaturi de reacție, cu rezultatele prezentate înFigurile 3 și 4, respectiv.


Figura 4 Curbele de sarcină de îndepărtare a nitrificării și de montare în zonele aerobe ale subsistemelor A/O-MBBR de etape 1 și 2 la diferite temperaturi de reacție
DinFigura 3, se poate observa că în cadrul sistemului A/O-MBBR cu trei-etape, datorită influenței în două-puncte, zonele de reacție O3 și O4 din prima-etapă A/O-MBBR subsistemului și zonele de reacție O7 și O8 ale celei de-a doua-etape de încărcare a subsistemului A/O{{1}MBBR de nitificare principală sistem. Atât în condiții normale, cât și în condiții de temperatură medie-scăzută,Ratele contribuției la nitrificarea NH₄⁺-N ale acestor două subsisteme au fost de 43,1%, 49,6% și, respectiv, 33,8%, 54,0%. Aceasta arată că, în condiții de temperatură medie-scăzută, rata contribuției la nitrificarea NH₄⁺{-N a subsistemului de-etapa a doua a fost cu 20,2% mai mare decât cea a subsistemului din prima-etapă.
DinFigurile 4(a) și (c), se poate observa că pentru biofilmele din zonele de reacție aerobă O3 și O7 la temperatură normală, acestea sunt principalele zone de reacție în sistemul A/O-MBBR în trei-etape pentru degradarea materiei organice combinată cu funcția de nitrificare. Când sarcina de îndepărtare SCOD per suprafață purtător (abreviată ca „sarcină de îndepărtare SCOD”, calculată ca COD) a fost mai mică de 2,0 g/(m²·d) și sarcina de nitrificare pe suprafață purtător (abreviată ca „sarcină de nitrificare”, calculată ca N) a fost mai mică de 1,6 g/(m²·d), relația dintre suprafața de nitrificare ca suprafață de nitrificare (m²·d) „sarcina de îndepărtare a nitrificării”, calculată ca N) și sarcina de nitrificare au urmat o reacție liniară de ordinul întâi, cu pante de 0,83 și, respectiv, 0,84. Când sarcina de nitrificare a crescut la 1,6-6,0 g/(m²·d), relația dintre sarcina de îndepărtare a nitrificării și încărcarea de nitrificare a urmat o reacție de ordin zero, cu încărcături medii corespunzătoare de îndepărtare a nitrificării de 1,31 și, respectiv, 1,34 g/(m²·d). Când sarcina de îndepărtare a SCOD a fost de 2,0-4,0 g/(m²·d) și sarcina de nitrificare a fost de 1,6-6,0 g/(m²·d), deși relația de reacție de ordin zero dintre sarcina de îndepărtare a nitrificării și sarcina de nitrificare a rămas neschimbată, sarcina medie corespunzătoare de nitrificare a scăzut și de îndepărtare. g/(m²·d), respectiv. Pentru biofilmele din zonele de reacție aerobă O3 și O7 la temperatură medie-scăzută, când sarcina de îndepărtare a SCOD a fost mai mică de 2,0 g/(m²·d) și sarcina de nitrificare a fost mai mică de 1,1 g/(m²·d), pantele liniare ale sarcinii de îndepărtare a nitrificării față de sarcina de nitrificare au scăzut la 0,81, respectiv 0,871. Când sarcina de nitrificare a crescut la 1,1-6,0 g/(m²·d), încărcările medii corespunzătoare de îndepărtare a nitrificării au scăzut la 0,78 și respectiv 0,94 g/(m²·d), reprezentând scăderi de 40,4% și 19,4% față de condițiile normale de temperatură. Când sarcina de îndepărtare SCOD a crescut la 2,0-4,0 g/(m²·d), încărcările medii corespunzătoare de îndepărtare a nitrificării au scăzut la 0,66 și respectiv 0,91 g/(m²·d), reprezentând scăderi de 30,5% și 6,2% față de condițiile normale de temperatură. Capacitatea de nitrificare a biofilmului în zona de reacție O3 a fost în concordanță cu rezultatele cercetării HEM și colab. în condiţii corespunzătoare. Cu toate acestea, este de remarcat faptul că, în condiții de temperatură medie-scăzută, în comparație cu biofilmul din zona de reacție O3, biofilmul din zona de reacție O7 a prezentat o capacitate de nitrificare mai puternică.
DinFigura 4(b) și (d), se poate observa că pentru biofilmele din zonele de reacție aerobă O4 și O8 la temperatură normală, acestea sunt zonele de reacție din sistemul A/O-MBBR în trei-etape, care servesc în primul rând o funcție suplimentară de nitrificare. Când sarcina de îndepărtare a SCOD a fost mai mică de 1,0 g/(m²·d) și sarcina de nitrificare a fost mai mică de 1,3 g/(m²·d), relația dintre sarcina de îndepărtare a nitrificării și sarcina de nitrificare a urmat o reacție liniară de ordinul întâi, cu pante de 0,86 și, respectiv, 0,88. Când sarcina de nitrificare a crescut la 1,3-3,0 g/(m²·d), relația dintre sarcina de îndepărtare a nitrificării și încărcarea de nitrificare a urmat o reacție de ordin zero-, cu încărcături medii corespunzătoare de îndepărtare a nitrificării de 1,11 și, respectiv, 1,13 g/(m²·d). În condiții de temperatură medie-scăzută, când sarcina de îndepărtare SCOD a fost mai mică de 1,0 g/(m²·d) și sarcina de nitrificare a fost mai mică de 1,0 g/(m²·d), pantele liniare ale sarcinii de îndepărtare a nitrificării față de sarcina de nitrificare au scăzut la 0,72 și, respectiv, 0,84. Când sarcina de nitrificare a crescut la 1,0-3,0 g/(m²·d), încărcările medii corespunzătoare de îndepărtare a nitrificării au fost de 0,72 și respectiv 0,86 g/(m²·d), reprezentând scăderi de 35,1% și 23,9% față de condițiile normale de temperatură.
Din analiza de mai sus, se poate observa că la temperaturi medii-scăzute, punctele de inflexiune ale relației dintre sarcina de îndepărtare a nitrificării și încărcarea de nitrificare pentru biofilm din fiecare zonă de reacție au avut loc mai devreme în comparație cu temperatura normală. Acest fenomen este relativ în concordanță cu rezultatele cercetării SAFWAT. În general, deși capacitatea de nitrificare a biofilmului în fiecare zonă aerobă a sistemului a arătat o tendință de scădere la temperaturi medii-scăzute,capacitatea de nitrificare a biofilmului din zona de reacție O7 a subsistemului A/O-MBBR de etapa a doua a crescut cu 20,5%-37,9% față de zona de reacție O3, iar capacitatea de nitrificare a biofilmului din zona de reacție O8 a crescut cu aproximativ 19,4% față de zona de reacție O4. Acest lucru indică faptul că configurarea celei de-a doua-zone de reacție în sistemul A/O-MBBR cu trei-etape este benefică pentru îmbunătățirea capacității generale de nitrificare a sistemului.
2.3 Modificări ale capacității de denitrificare a biofilmului în fiecare zonă de reacție anoxică la diferite temperaturi de reacție
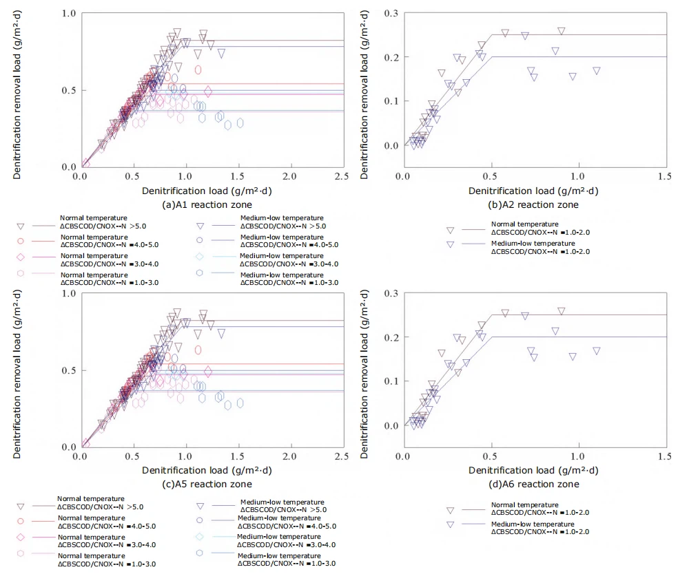
Pentru a evalua modificările capacității de denitrificare a sistemului MBBR în trei{0}}etape A/O-MBBR dintr-o perspectivă de ansamblu, acest studiu a analizat capacitatea de denitrificare a biofilmului în fiecare zonă de reacție anoxică la diferite temperaturi de reacție, cu rezultatele prezentate înFigura 5.


Figura 5 Sarcina de îndepărtare a denitrificării în fiecare zonă anoxică a sistemului A/O-MBBR în trei-etape la diferite temperaturi de reacție
DinFigura 5(a) și (c), se poate observa că pentru zonele de reacție anoxică A1 și A5, acestea sunt principalele zone de denitrificare în sistemul A/O-MBBR cu trei-etape, folosind ca substrat surse de carbon de apă brută. Atât în condiții normale, cât și în condiții de temperatură medie-scăzută, când raportul corespunzător de denitrificare anoxică carbon-la-azot (ΔCBSCOD / CNOx{--N) a fost mai mare de 5,0 și sarcina de denitrificare pe suprafața purtătoarei (abreviată ca „încărcare de denitrificare{2}}N{2}} a fost calculată ca „încărcare de denitrificare{2}} mai mult de 0,95 g/(m²·d), relația dintre sarcina de îndepărtare de denitrificare pe suprafața purtătoare (abreviată ca „sarcină de îndepărtare de denitrificare”, calculată ca NOx--N) și sarcina de denitrificare a urmat o reacție liniară de ordinul I, cu pante de 0,0887, 0,0887, 0,84, respectiv. Când sarcina de denitrificare a crescut peste 0,95 g/(m²·d), relația dintre sarcina de îndepărtare a denitrificare și încărcarea de denitrificare a urmat o reacție de ordin zero, cu încărcături medii corespunzătoare de îndepărtare a denitrificare de 0,82, 0,82 g/(m²·d) și respectiv 0,78 g/(m²·7), respectiv 0,78 g/(m²·d) Pe măsură ce ΔCBSCOD / CNOx--N a scăzut, punctul de inflexiune al relației dintre sarcina de îndepărtare a denitrificării și sarcina de denitrificare s-a deplasat înainte, panta liniară în condiții de sarcină scăzută a arătat o tendință descendentă și, simultan, sarcina medie de îndepărtare a denitrificării în condiții de încărcare mare a arătat, de asemenea, o tendință descendentă. Aceste rezultate indică faptul că pentru denitrificarea biofilmului în zonele de reacție A1 și A5 folosind surse de carbon de apă brută, raportul carbon-azot este principalul factor care determină funcția de denitrificare, iar în condițiile de calitate a apei de testare, raportul ideal carbon-azot pentru zonele de reacție anoxică A1 și A5 ar trebui să fie mai mare de 5.
Din figurile 5(b) și (d), se poate observa că pentru zonele de reacție anoxică A2 și A6, deoarece zonele de reacție anoxică A1 și A5 au îndepărtat și consumat sursele de carbon din apa uzată brută și cea mai mare parte a nitratului transportat de fluxul de recirculare, zonele de reacție anoxică A2 și A6 au fost în stare de-substrat{7}{8}deficientă{7}}pe termen lung. Prin urmare, atât în condiții normale, cât și în condiții de temperatură medie-scăzută, când ΔCBSCOD / CNOx--N a fost între 1,0-2,0 și sarcina de denitrificare a fost mai mică de 0,50 g/(m²·d), pantele liniare ale sarcinii de îndepărtare a denitrificării față de sarcina de denitrificare au fost doar 0,51, 0,047, 0,00,40, respectiv 0,00,40 Mai mult, atunci când sarcina de denitrificare a crescut la 0,50-1,50 g/(m²·d), încărcările medii corespunzătoare de îndepărtare a denitrificării au fost doar 0,25, 0,20 și 0,20, respectiv 0,17 g/(m²·d). Cu toate acestea, rezultatele experimentului static din acest studiu au arătat că în condiții de sursă suficientă de carbon și substrat de nitrat, sarcina de îndepărtare a denitrificării biofilmului în zonele de reacție anoxică A2 și A6 ar putea atinge (0,66±0,14) și respectiv (0,68±0,11) g/(m²·d). Acest rezultat reflectă faptul că biofilmul din zonele de reacție anoxică A2 și A6 posedă de fapt o capacitate de denitrificare relativ puternică, care este limitată de lipsa sursei de carbon și a substraturilor de nitrați în acest sistem pilot.
DinFigura 5(e), se poate observa că, pentru zona de reacție anoxică A9, suportă sarcina de denitrificare pentru toți nitrații care curge din primele două etape ale sistemului MBBR cu trei-etape A/O-, folosind acetat de sodiu adăugat extern ca sursă de carbon de denitrificare. Atât în condiții normale, cât și în condiții de temperatură medie-scăzută, când ΔCBSCOD / CNOx{--N a fost mai mare de 5 și sarcina de denitrificare a fost mai mică de 2,5 g/(m²·d), relația dintre sarcina de îndepărtare a denitrificației și încărcarea de denitrificare a urmat o reacție liniară de ordinul întâi,93,94,90. respectiv. Cu toate acestea, pe măsură ce ΔCBSCOD / CNOx--N a scăzut, panta liniară a relației dintre sarcina de îndepărtare a denitrificării și sarcina de denitrificare a arătat o tendință descendentă. Acest rezultat indică, de asemenea, că pentru denitrificarea biofilmului în zona de reacție A9 folosind o sursă externă de carbon, raportul carbon-azot este, de asemenea, principalul factor care determină funcția de denitrificare, cu un raport necesar de denitrificare carbon-azot mai mare de 3. Simultan, influența modificărilor temperaturii de reacție asupra funcției sale de denitrificare este relativ mică.
2.4 Capacitatea de nitrificare și caracteristicile morfologice ale biofilmului în fiecare zonă de reacție aerobă în condiții experimentale statice
Capacitatea de nitrificare a biofilmului în fiecare zonă de reacție aerobă în condiții experimentale statice este prezentată înFigura 6. Din Figura 6, se poate observa că la temperatură normală, capacitățile de nitrificare ale biofilmului în zonele de reacție aerobă O3, O4, O7 și O8 au fost (1,37±0,21), (1,23±0,15), (1,40±0,20) și respectiv (1,25±0,13) g/(m²·d), respectiv (1,25±0,13) g/(m²·d). La temperatură medie-scăzută, capacitățile de nitrificare ale biofilmului în zonele de reacție aerobă corespunzătoare au fost (1,07±0,01), (1,00±0,04), (1,08±0,09) și (1,03±0,05) g/(m²·d), în scădere cu 21,9%, respectiv 21,9%, 21,9%, 17,6% față de temperatura normală. Aceste rezultate statice ale experimentului sunt în concordanță cu tendința valorilor măsurate în sistemul pilot. În plus, se poate observa că capacitatea măsurată de nitrificare a biofilmului în fiecare zonă aerobă în condiții experimentale statice a fost oarecum mai mare decât valorile reale în sistemul pilot. Analiza atribuie acest lucru utilizării unui singur substrat cu azot de amoniu și a unor condiții aproape-saturate de oxigen dizolvat ridicat în timpul experimentelor statice, ceea ce duce la un nivel mai ridicat al capacității de nitrificare a biofilmului. La temperatură normală, capacitățile reale de nitrificare în zonele de reacție O3, O4, O7 și O8 ale sistemului MBBR cu trei-etape A/O- au fost de 95,6%, 90,6%, 95,7% și, respectiv, 90,4% din capacitatea maximă de nitrificare în cadrul experimentelor statice. La temperatură medie-scăzută, capacitățile reale de nitrificare în zonele de reacție O3, O4, O7 și O8 au scăzut la 72,9%, 72,0%, 87,0% și, respectiv, 84,5%.

O analiză ulterioară a arătat că, la temperatură normală, ratele specifice de oxidare a amoniacului (rata de nitrificare pe unitate de masă MLVSS, calculată ca N) ale biofilmului în zonele de reacție aerobă O3, O4, O7 și O8 au fost (0,062±0,0095), (0,059±0,0072), (0,060±0,0072), (0,060±0,0072), (0,060±0,0072), (0,060±0,0072), (0,060±0,0072), (0,060±0,0072), (0,060±6) g/(g·d), respectiv. La temperatură medie-scăzută, ratele specifice de oxidare a amoniacului biofilmului în zonele de reacție aerobă O3 și O4 au fost doar (0,046±0,0004) și respectiv (0,041±0,0016) g/(g·d), scăzând cu 25,8% și 30,5% față de temperatura normală. În contrast, ratele specifice de oxidare a amoniacului ale biofilmului în zonele de reacție aerobă O7 și O8 au fost (0,062±0,0051) și respectiv (0,060±0,0029) g/(g·d). În comparație cu condițiile normale de temperatură, capacitatea de oxidare a amoniacului a biofilmului din zona de reacție O8 a rămas neschimbată, în timp ce capacitatea de oxidare a amoniacului a biofilmului din zona de reacție aerobă O7 a crescut chiar cu 3,3%. Acest rezultat demonstrează bine că, în condiții de temperatură medie-scăzută, biofilmul din zona de reacție din a doua-etapă a sistemului pilot are o capacitate de nitrificare mai bună și raționalitatea contribuției subsistemului de-etapa a doua la nitrificarea generală a sistemului.
Rezultatele observației morfologiei biofilmului în fiecare zonă de reacție aerobă a subsistemelor A/O-MBBR din prima și a doua etapă sunt prezentate înFigura 7. La temperatură normală, grosimile biofilmului în zonele de reacție aerobă O3, O4, O7 și O8 au fost (217,6±54,6), (175,7±38,7), (168,1±38,2) și, respectiv, (152,4±37,8) μm. La temperatură medie-scăzută, grosimile biofilmului în zonele de reacție O3 și O4 au fost (289,4±59,9) și respectiv (285,3±61,9) μm, reprezentând creșteri de 33,0% și 62,4% față de grosimea biofilmului la temperatură normală. În schimb, grosimile biofilmului în zonele de reacție O7 și O8 au fost (173,1±40,2) și respectiv (178,3±31,2) μm, crescând cu doar 3,0% și 17,0% față de temperatura normală. Unele studii au arătat că biofilmele mai subțiri au o capacitate mai puternică de oxidare a amoniacului, ceea ce este relativ în concordanță cu rezultatele experimentale ale acestui studiu. Analiza atribuie acest lucru faptului că bacteriile nitrificatoare din biofilm sunt distribuite vertical în structura stratificată a biofilmului; grosimea excesivă a biofilmului duce la reducerea eficienței transferului de masă a substratului și a afinității substratului. Mai mult, în condiții de temperatură medie-scăzută, concentrația de oxigen dizolvat în fiecare zonă aerobă a sistemului pilot a fost mult mai mică decât cea din reactorul experimental static (diferând cu 3,0-5,0 mg/L). În special pentru biofilmele mai groase din zonele de reacție O3 și O4, scăderea capacității de transfer de masă a oxigenului în biofilm a condus la o scădere a capacității lor reale de nitrificare (doar aproximativ 70% din capacitatea maximă de nitrificare măsurată în condiții statice). Prin urmare, pentru un biofilm MBBR pur, este necesar să se îmbunătățească reînnoirea biofilmului prin întărirea intensității de forfecare și să controleze în mod rezonabil grosimea biofilmului pentru a menține capacitatea de nitrificare a biofilmului.

3. Concluzie
① În condițiile unei temperaturi de reacție de 10-16 grade (temperatură medie{-scăzută), un debit de tratare de (23,6±5,4) m³/zi și o dozare a sursei de carbon de 50-90 mg/L (calculat ca COD) în zona anoxică a subsistemului{}{7}{8}AMBO{8} Concentrațiile de efluent SCOD, NH₄⁺-N și TIN ale sistemului pilot A/O-MBBR în trei etape au fost (26±6), (0,4±0,6) și, respectiv, (6,8±3,6) mg/L, curate medii de eliminare ajungând la 82,3%, 99,0% și 82,8%.
② În condiții de temperatură medie-scăzută, din cauza diferențelor de biofilm al zonelor de reacție aerobă dintre subsistemele A/O-MBBR din prima-etapă și-etapa a doua, s-a format o diferență în capacitatea de nitrificare a biofilmului între cele două subsisteme. În special pentru primul-subsistem A/O-MBBR, capacitatea de nitrificare a scăzut din cauza grosimii crescute a biofilmului. Pentru a menține capacitatea de nitrificare a biofilmului, este necesar să se controleze în mod rezonabil grosimea biofilmului.
③ În sistemul pilot A/O-MBBR cu trei-etape, efectul modificărilor temperaturii de reacție asupra funcției de denitrificare a fost relativ mic. La diferite temperaturi de reacție, raportul de denitrificare carbon-la-azot folosind apa brută ca sursă de carbon trebuie să fie mai mare de 5, iar raportul de denitrificare-la-azot folosind acetat de sodiu adăugat extern ca sursă de carbon trebuie să fie mai mare de 3.

